ЗАКАЗАТЬ ЗВОНОК
Центр
системно-инженерных компетенций
  • »


Методы и нотации моделирования бизнес-процессов и данных

Моделирование бизнес-процессов призвано улучшить работу отдельно взятой компании.

Это аналитический инструмент, способный обобщить влияние как внутренних, так и внешних элементов в работе компании, а также найти способы оптимизировать их, чтобы увеличить продуктивность.
1. Виды моделирования
Методы моделирования бизнес процессов разделяют на следующие виды:

  1. Структурное.

Этот вид моделирования фокусируется на общей структуре системы. Иными словами, во внимание принимаются все составляющие её элементы — от первого до последнего:

  • Отделы компании,
  • Персонал,
  • Его знания и навыки,
  • Территориальное расположение
  • Производство, а также все остальные компоненты и ресурсы.

После того как данные элементы рассмотрены, наступает фаза, в которой анализируются уже связи и отношения между ними.

Например, насколько отлаженно команда проверки качества (QA) взаимодействует с командой разработчиков в IT-компании и насколько продуктивна их совместная работа в целом.

Этот вид моделирования включает в себя:

  • Функциональное. Подразумевает графическую модель, которая объясняет кто и какие функции выполняет.

  • Имитационное. Здесь создаётся модель, которая симулирует работу компании, что позволяет понять, какие узкие места есть в работе бизнес-процессов компании, как новшества и изменения в итоге отразятся на работе.

  • Информационное. Позволяет создать цифровую копию компании, где все нужные параметры предстают в виде простых данных. Например, для строительной компании это будут климатические условия, износостойкость материалов и т. д.

2. Объектно-ориентированное

Этот вид описывает системные процессы, делая упор на объекты, принимающие в них участие. При этом описываются их изменения и условия, в которые они помещены.

3. Интегрированное

Данный вид объединяет в себе все прочие виды моделирования, позволяя получить глубокое и подробное представление о работе организации.
2. SADT и нотация IDEF0
SADT (Structured Analysis and Design Technique) — в переводе означает методология структурного анализа и проектирования. SADT был разработан Дугласом Россом как метод аналитики системы с точки зрения её структуры.

Говоря простым языком, методологии моделирования бизнес процессов, основанные на SADT, “разбивают” сложную и запутанную цепочку процесса на простые элементы.
Рис.1. Простая интерпретация SADT-модели
SADT включает в себя несколько фаз:

  • Анализ. Для чего конкретно система нужна?
  • Проектирование. Какие подсистемы необходимы для успешной работы? Как они будут взаимодействовать?
  • Имплементация. Здесь подсистемы создаются по очереди.
  • Объединение. После разработки происходит слияние систем для достижения синергии, т.е. успешной работы вместе.
  • Проверка. Собранная воедино система “прогоняется” через тесты.
  • Установка. Система вводится в реальную среду, где будет работать.
  • Использование. Начинается её практическое применение.

Важной составляющей SADT-модели является IDEF0. Это нотация графического моделирования, которая используется как базовый стандарт моделирования процессов.

IDEF0 в своей диаграмме демонстрирует главные функции, вход/выход системы, условия, оказывающие воздействие на компанию и другие подобные компоненты.

При необходимости, IDEF0-диаграмму можно детализировать, чтобы получить доступ к более подробным деталям процесса.
3. DFD
Среди прочего, стандарты моделирования бизнес процессов также включают DFD-нотацию. Этот акроним расшифровывается как Data flow diagramsдиаграммы потоков данных.
Рис. 2. Упрощённая схематика DFD
Диаграммы потоков данных (DFD) отображают то, как именно данные поступают в систему из различных внешних источников, как передаются и обрабатываются внутри самой системы и, наконец, в каком виде и где хранятся.

DFD-нотация, как правило, оперирует следующими символами:

  • Квадрат. Он обозначает внешние объекты/сущности, которые являются либо источником данных, либо реципиентами оных. Это могут быть компании-заказчики, партнёры, консультанты, юридические документы, корпоративные отделы и так далее.

  • Прямоугольники с округленными уголками. Они представляют процессы, в ходе которых данные обрабатываются системой.

  • Стрелки. Показывают поток данных, как внешних, так уже и обработанных компанией. Сюда можно включить что угодно: от полного имени и телефона клиента, до объёма продукции, которую нужно доставить куда-либо.

  • Открытые прямоугольники. Они представляют собой хранилища данных: базу с контактной информацией, списки имён, таблицы с заказами и т.д. При этом хранилища бывают не только цифровыми: например, бумажная картотека.
Рис. 3. DFD-схема на примере SDS Cybersecurity
4. WFD и нотация IDEF3
WFD (Work Flow Modeling) буквально означает моделирование потоков работы. Методики моделирования бизнес процессов, основанные на WFD ставят во главу угла не лавину данных, а уже конкретные действия и работы.

WFD изображается как диаграмма, в которую включены рабочие процессы, их порядок и расписание по времени, сопутствующие события, а также конкретные результаты.

Для описания этих процессов существует нотация IDEF3. Иногда она задействована в тандеме с IDEF0, если необходимо получить исчерпывающую картину происходящих процессов.

IDEF3 обладает некоторыми преимуществами:

  • Можно понять, как рабочие процессы выполняются
  • Выяснить какие объекты задействованы в них.
  • Проанализировать процессы, происходящие на нижних уровнях.
  • Провести декомпозицию отдельных блоков.
  • Получить информацию о неполных системах, условиях, процесса.

В описательный арсенал WFD входят следующие символы:

  • Блок работы. Здесь описываются функции работ, которые выполняет персонал: отделы, цеха, команды, единичные работники и т.д.
  • Звенья. Логически связывают работы, выполняемые разными ответвлениями компании.
  • Логические операторы. Символы по типу “&”, “X” и другие. Они указывают где и как рабочие процессы сливаются в единый результат.
  • Референты. Сюда, к примеру, добавляются комментарии/пояснения к пересекающимся рабочим процессам.

С помощью WFD можно описать как простые, так и довольно запутанные, многослойные рабочие процессы.
5. Unified Modeling Language
Функциональное моделирование бизнес процессов во многом опирается на Unified Modeling Language (UML) — универсальный язык моделирования.

Первоначально, UML был разработан как язык, позволяюший “просчитать” плавный и безболезненный переход какой-либо компьютерной программы от простого состояния к масштабному, в случае коммерческого успеха.

UML, как бы, был способен “предвидеть” возможные трудности и проблемы, при конструировании сложной и масштабной системы. В результате он перекочевал из мира программного обеспечения так же и в другие отрасли: строительство, финансы, фармакологию и т.д.

Также UML служит каналом связи как между отделами и командами внутри самой компании, так и для общения с клиентом.

Он позволяет осветить крупные и мелкие нюансы проекта, установить поведенческие аспекты разрабатываемой системы, физические и статические компоненты и т.д.

Для работы над проектом, UML использует диаграммы:

  • Прецеденты. Эта диаграмма включает Участника, например, пользователя системы, и Прецеденты — те действия, которые он будет совершать, работая с системой.
  • Классы. Здесь обобщены элементы, у которых есть общие характеристики.
  • Активности. Здесь уточняется алгоритм поведения для создаваемой системы, будь то онлайн бутик, многоэтажное здание, система сигнализации и т.д.
  • Последовательности. Фактически, здесь прописывается сценарий поведения для прецедентов системы.
  • Развертывание. В этой диаграмме ведётся работа с дополнительными задачами, призванными сделать работу системы оптимизированной и более гладкой.

При этом UML оперирует собственным небольшим глоссарием, то есть списком терминов, которые рекомендуется понимать в контексте языка.

Среди них можно найти такие понятия как артефакт, класс ассоциаций, фаза уточнения, актор и другие.
6. STD
STD или State Transition Diagram переводится как диаграмма переходов состояний.

STD фокусируется на том, как система себя ведёт, реагируя на временные и другие внешние условия: погода, колебания курса валют, перебои поставок, смена моды и трендов и так далее.

Его основная цель — определить возможные состояния системы в целом и то, как она переходит из одного состояния в другое.

Так же STD может выяснить какие условия влекут за собой эти переходные состояния и что конкретно происходит с системой в такие моменты.

Поэтому, чтобы включить STD в способы моделирования бизнес процессов, нужно знать его основные компоненты:

  • Состояние. Это значение атрибутов/характеристик объекта в данный момент времени. Вариативных состояний как таковых может быть очень большое количество, но на момент начала перехода оно может быть только одно.
  • Начальное состояние. Представляет собой исходное состояние как после установки системы. Оно так же может быть только одно, и при этом выполнять роль “точки отсчёта” при начале перехода.
  • Переход. Промежуточная стадия, когда система переходит в качественно иное состояние. Вместе с этим, переход как бы “фиксирует” событие, послужившее триггером для его начала. Отчасти, это можно сравнить с реакцией органики на раздражитель.
  • Действие. Здесь, собственно, имеется в виду любое действие, которое может происходить в системе в момент перехода. Например, отправка письма с подтверждением на электронную почту при удалении аккаунта в соц.сети по типу Facebook.

Собственно, диаграмма переходов состояний умещается в эти 4 стадии. Тем не менее, некоторые исследователи добавляют ещё несколько стадий вроде конечного состояния, супер-состояния, истории состояний, и других.
7. ERM и нотации IDEF1X, IDEF1
Наконец, подходы к моделированию бизнес процессов включают в себя Моделирование отношений сущностей — один из ключевых методов моделирования бизнес-процессов. Он описывает статическую структуру данных или, иными словами, задействованные объекты и их взаимосвязь.


В свою очередь, динамический компонент (т.е. бизнес-процесс) будет смоделирован с использованием цепочек процессов, управляемых событиями.

Во время построения модели отношений сущностей (ERM) необходимо идентифицировать те объекты и отношения, которые, в своём роде, иллюстрируют реальность.

Простыми словами, ERM позволяет “сгруппировать” определённые сущности — рабочий персонал, клиентов, концепции, оборудование, идеи — на основе их более-менее постоянных признаков.

К примеру, в качестве такого признака может послужить профессиональное образование, курсы повышения квалификации, трудовой стаж, занимаемая должность, количество выполненных проектов, портфолио, другие полезные навыки и т.д.

Все вместе, они будут отображать общую компетентность сотрудника предприятия. В итоге на их основе можно составить базу данных, которая называется тип сущностей. По ней будет легче ранжировать такую сущность, как Компетенция сотрудников, отделяя “зёрна от плевел”.


В другом примере, ERM может связать такую сущность как Клиент с присущими ему характеристиками: ФИО, адрес, дата рождения, уникальный клиентский ID и так далее.


В этом примере сущность Клиент и его характеристики связаны типом отношений (relationship type).
Для составления ERM-модели используется следующая нотация:

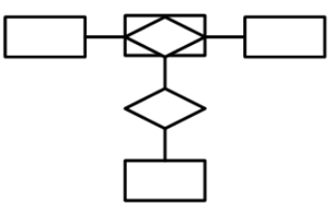
1. “Сущность”
· Символ — прямоугольник.
· Обозначается существительными.
· Определение: ряд различных объектов, обладающих собственными характеристиками и качествами.

2. “Тип отношений”
· Символ — ромб.
· Обозначается глаголами.
· Определение: логически связующая функция между двумя и более типами сущностей.

3. “Характеристика”
· Символ — атрибут.
· Обозначается существительными и другими частями речи.
· Определение: свойство, характерное для определённого типа сущности или типа отношений.

Так же модель ERM включает в себя так называемые Множества (Cardinalities). По сути, это типы отношений, различающиеся по количеству объектов, которые они соединяют.

Например, ваш Клиент может купить один Товар или несколько Товаров. И при этом, несколько Клиентов могут купить один и тот же Товар. Эта взаимосвязь представляется Множествами, которые представлены в простой формуле:
1: 1, 1: n или n: m

Соединение типов сущностей A и B в соотношении 1: 1 означает, что каждая сущность типа сущности A приписывается не более чем одной сущности типа B и наоборот.

В отношении 1: n сущность типа A не приписывается одной, нескольким или же ни одной сущностью типа B. Однако, каждая сущность типа B приписывается не более чем одному типу сущности A.

В отношении n: m каждая сущность из определённого типа сущностей присваивается нулю, одному или нескольким сущностям другого типа сущностей.
Пример схематики ERM-модели


IDEF1 применяется для построения информационной модели, которая представляет структуру информации, необходимой для поддержки функций производственной системы или среды. Сюда можно включить данные о персонале, о движении документов, о состоянии активов информации и т.п.

Стандарт IDEF1 призван построить модель данных, эквивалентную реляционной модели в третьей нормальной форме.

IDEF1X дополняет предыдущий стандарт. Он включает в себя три важных элемента:

  • Диаграмма "сущность — связь". Этот компонент предоставляет наглядные и простые для понимания данные, касательно всевозможных сущностей, их характеристик и т.д. Как правило, ими пользуется руководство организации.
  • Модель, основанная на ключах. Здесь выявляются главные (“ключевые”) характеристики, которые объединяют между собой различные объекты.
  • Полная атрибутивная модель. Наконец, полученные данные детально структурируются.

Вышеупомянутые стандарты работают “в унисон” в контексте ERM-модели, позволяя создавать универсальные базы данных. Их универсальность заключается в том, что их сведения позволяют оценить, как общую картину взаимоотношений между сущностями, так и бросить более "микроскопический" взгляд на них.
8. Применение методов на практике
Моделирование бизнес-процессов и данных — это весьма эффективные методы, который предлагает компаниям разнообразные преимущества и бонусы.

Вот лишь некоторые из них:

  • Выявление “слабости”. Прежде всего, моделирование бизнес-процессов поможет получить чёткое представление о том, как организация будет работать, какой уровень эффективности покажет и в каких аспектах ей могут потребоваться улучшения, что поможет избежать убытков.
  • Прозрачность. Готовая модель бизнес процесса покажет, как будут выполняться задачи компании, кто за них будет отвечать и как это приведёт к достижению цели организации, согласно её миссии.
  • Гибкость. Цели и стратегии компании могут измениться буквально за минуту. Моделирование бизнес-процессов поможет найти решения, соответствующие новым целям и условиям. (Как местным, так и глобальным).
  • Стандартизация. С помощью моделирования, можно найти передовой опыт, ноу-хау и идеи, которые в последствии можно внедрить во всей организации, повысив её продуктивность.

В итоге моделирование бизнес-процессов и данных, приводит к прозрачности в корпоративной структуре. Когда информация становится наглядной и простой для понимания, менеджменту легче принимать решения, что порой требуется сделать очень быстро.

Приняв в свой арсенал моделирование процессов и данных, компания сможет с лёгкостью запускать новые продукты, соответствовать стандартам безопасности, находить нетривиальные решения и быстро перестраиваться в условиях непостоянного рынка.
Теги: управление требованиями, системная инженерия, методология проектирования сложных изделий
Рекомендуемые статьи
Получайте новости одним из первых
Оставьте e-mail и будьте в числе первых читателей наших новостей.
ОСТАВИТЬ ЗАЯВКУ